I started off with what seemed like a simple question: Which states have the greatest coverage of professional genealogists, and which have the least?
It sounds like a simple enough question. The Association of Professional Genealogists (APG) has an online membership directory. Each member can list a profile describing his/her specialties, including up to twelve “Geographic Specialties.”
When I tally the number of genealogists per state, I got this:

Or, if you prefer, in map form:
So New York (206) is the subject of the most professional genealogical specialists, followed by Pennsylvania (174) and Massachusetts (135). Hawaii (6), Nevada (6) and Wyoming (6) have the fewest. End of story.
But hold on. This does not really answer my original question, which was about the “greatest coverage of professional genealogists.” Surely we must factor in the population of the state to see what the coverage is. So I redid the above two charts, this time looking at the number of professional genealogists per 100,000 population, using population data from the 2010 census. This yields the following two charts:


Interesting. The states with the most genealogists specializing in them per 100K population are Vermont (8.9), New Hampshire (4.9) and Delaware (4.8). The states with the fewest are California (0.3), Nevada (0.2) and Florida (0.2).
This one had be scratching my head a bit. Why is Florida so low, for example? Anyone who went to the NGS conference earlier this year in Fort Lauderdale saw the massive turnout from Florida genealogists. So what’s going on here?
Then it struck me — the thing that really counts, from a genealogical perspective, is not where people live today, but where our ancestors lived in the past. That is why, as a research subject, Virginia and a bunch of small New England states hugging the east coast can have a genealogical significance that outstrips even mighty California and Florida. But how to represent this historical significance?
What I decided to do is give equal weight to all of the decennial censuses, from 1790 to 2010, to create what I’m calling “normalized historical population.” Think of it as calculating the proportion each state’s population in each census, averaging these proportions, and then normalizing it to the current (2010) total national population. This allows us to do more of an apples-to-apples comparison, of how our current population distribution is versus what a time-averaged U.S. population distribution would like.
Here first is the current (2010) population distribution, showing, as we all know, that California, Texas, Florida and New York are the high population states:
And then here is the normalized historical population version, showing the influence New York, Pennsylvania, Ohio, Virginia and Massachusetts had as historical population centers.

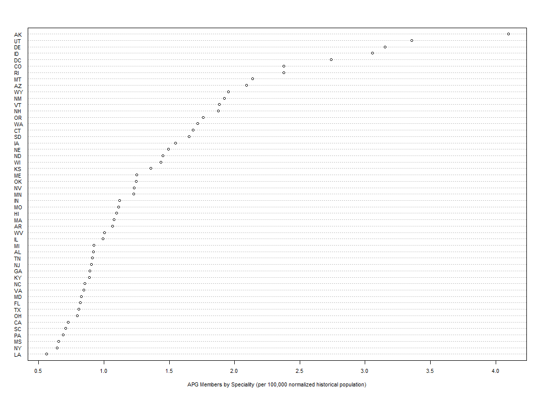
Now we have the data to take the next (and last) step to answer the question, “Which states have the greatest coverage of professional genealogists, and which have the least?” I looked at APG members per 100K “normalized historical population” to get the following two charts:

The states with the most coverage are Alaska (4.0), Utah (3.4) and Delaware (3.1). Those with the least are Mississippi (0.7), New York (0.6) and Louisiana (0.6).
So what does it all mean? I can think of reasons why Utah would be high. But why Delaware? And why is Louisiana so low? Please, feel free to share your thoughts.
Note: This post has been updated to include Washington, D.C., which was inadvertently omitted in the original post.
8 September 2016 Addendum
I’ve receive a few questions about international APG membership and why I left them out. A few words on this subject are appropriate.
At a coarse level, of course we can total how many APG members (with profiles in the APG directory) are from each country:
| Argentina | 3 |
| Australia | 22 |
| Austria | 5 |
| Belgium | 3 |
| Bulgaria | 1 |
| Canada | 83 |
| Chile | 1 |
| Croatia | 2 |
| Czech Republic | 2 |
| Denmark | 2 |
| England | 18 |
| France | 11 |
| Germany | 26 |
| Greece | 1 |
| Hungary | 6 |
| Ireland | 25 |
| Israel | 8 |
| Italy | 12 |
| Japan | 1 |
| Kuwait | 1 |
| Latvia | 1 |
| N. Ireland | 2 |
| Netherlands | 4 |
| New Zealand | 6 |
| Norway | 3 |
| Poland | 7 |
| Portugal | 1 |
| Russia | 1 |
| Scotland | 30 |
| Serbia | 1 |
| Singapore | 1 |
| Slovak Republic | 1 |
| Slovakia | 2 |
| Spain | 3 |
| Sweden | 4 |
| Switzerland | 3 |
| Ukraine | 1 |
| United Kingdom | 96 |
| United States | 1825 |
But taking it further than this, such as calculating genealogists per 100K population, would require extending some assumptions that may be true for United States genealogists, but are unlikely to be true worldwide. In particular, behind all the United States charts is the assumption that although not 100% of professional genealogists are APG members, a good proportion of them are, and that proportion is unlikely to vary much from state to state. So if, hypothetically, 70% of professional genealogists in the United States are APG members, then I’d expect this to be true in California as well as Rhode Island as well. It seems implausible to me that this assumption would hold in other countries, i.e., it is unlikely that 70% of professional genealogists in the UK or in Germany are APG members. Given that, international comparisons would be meaningless. That is why I did not extend the calculations worldwide.

WHAT ABOUT WASHINGTON DC???? I counted 50 states in your graphic, but no “DC.” So you excluded eight of us in the APG directory who live in Washington, DC, your nation’s capital!
Correction needed! (smile–sort of!)
Claire
Sorry, and no PR either I notice now 🙁
I’ll check to see if I have the underlying data for DC or not.
Well, if you’re using the APG directory and the U.S. Census, you should have the “underlying data.” Right?
Claire
The polygon data for the state outlines. Not sure if the mapping software can handle D.C. I’ll soon know…
Shame on the polygon data or the mapping software if it cannot! And if not, maybe you could find alternative programs? DC is the nation’s capital, for crying out loud! And if nothing can handle it, you might at least consider adding a post script on your blog. We’re here and we count! (smile!)
Claire
My happiness usually depends on ignoring what happens in our nation’s capital but I’ll make an exception this time 😉 The charts are updated. You should be able to see D.C. now, at 37 genealogists, 4.1 per 100K population, or 2.7 per 100K “normalized historical population.” So toward the top (ranked 5th) on that last measure.
Yeah!!!! Merci, merci! I’ll excuse your usual feelings about the nation’s capital and accept this update as your apologetic exception!! (smile!) Do you plan to post the update to the APG form? If so, I’ll follow you with applause. If not, I’ll post that you have updated it, and applaud. Thank you, again. And I’m sure my seven colleagues here in DC will appreciate your good will as much as I! Cheers!
Claire
What about specialisms outside the USA?
It would be interesting to compare how many members reside in or near their area of geographical specialisation. If you don’t live near the relevant archives, you can’t economically access the majority of records that are not online or at Salt Lake City.
It doesn’t look like you have taken account of land area when dealing with either modern or historical populations. Wouldn’t population density be more meaningful?
I’ll insert an addendum at the end of the post regarding non-USA data. I can certainly say more than nothing, but I cannot say as much as I’d wish.
Good point about the distance to repositories issue. It is more than population, but I think it is more than land area as well. The number of entities that have jurisdiction over records matters as well. For example, Rhode Island, where deeds and probate are handled at the town level, is a different beast because of that compared to, say, Massachusetts, where it is a county-level concern. So how centralized or decentralized the records are matters as well.
On the other hand, these charts are not really looking at how hard it is for the genealogist to do their work, but how much various populations are covered by professionals specializing in their state. To answer the other question, we’d really need to understand what it means when someone says, for example, that they specialize in both Florida and Maine. Maybe they summer in Maine and winter in Florida? Maybe they love in Florida and do Maine only online? The data is insufficient to answer this question.
This was great, Robert – thanks!
Katherine (APG member in MI)
I can speak a little bit to Delaware’s apparent prevalence. Though the state, with its measly three counties, has a very low population, it is centrally located within a 3-4 hour drive of New York City, Philadelphia, Maryland, Washington DC, New Jersey, Virginia, and other critical eastern states. It also has a relatively low cost of living, especially compared to all of the aforementioned areas. Two reasons why I chose to move here several years ago. In a state with a current (2014) population of still less than a million, it is home to no less than thirteen members of APG and seven current Board-certified genealogists. As a colony settled in the mid-seventeenth century (first as “New Sweden,” then part of New Amsterdam, then as the “Lower Three” counties of Pennsylvania) it also has a very long history, making it worthwhile for researchers in other states to also learn how to research here.
Thanks, Michael, that makes sense.